走路焕新彩软件
2.0.3 最新版
安装到手机
走路轻松宝
2.0.1 手机版
安装到手机
走路多长寿软件
2.0.1 最新版
安装到手机
国补查询帮app
1.0.0 安卓版
安装到手机
WiFi钥匙闪连app
蜜柚日历
星辰天气APP最新版
步步走财路
荣耀应用商店
安心天气通



极速5GWiFi是由成都钟客网络科技有限公司开发的安卓端网络优化类工具APP,软件核心围绕WiFi信号探测、信道优化和网络安全防护展开,凭借可视化分析和智能算法,解决用户常见的网络卡顿、信号弱、信道拥堵等问题。

在5G时代,每一秒卡顿都是对效率的辜负!极速5GWiFi不仅是工具,更是你掌控无线世界的智能中枢。从信号盲区到极速通道,四大核心功能助你一键解锁极速5G网络体验——
【WiFi接入点雷达】
一键扫描周边信号,智能解析强度、频段、加密类型等信息,像导航仪般精准定位「优秀接入点」!无论居家办公还是咖啡厅冲浪,5G速度始终与你无缝衔接。
【信道拥堵指数评级】
告别“信号满格却龟速”的尴尬!独家AI算法实时诊断2.4GHz/5GHz双频段信道质量,用评级模式直观标注拥堵等级,智能推荐「黄金信道」,让数据传输快如闪电。
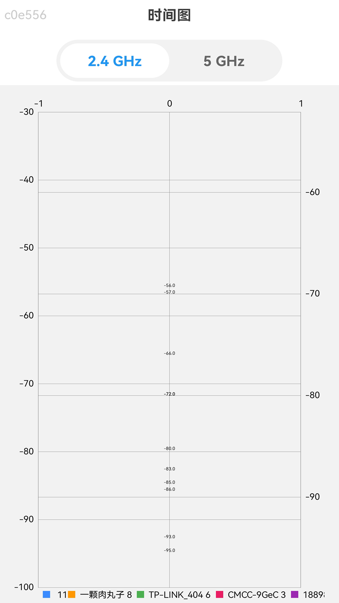
【WiFi信道热力图】
把抽象信号化为可视战场!动态频谱图全景展示周边WiFi分布,各信道占用率,密集区、空闲区清晰可辨。密集干扰源、隐蔽死角一目了然。拖拽之间,轻松找到专属5G极速“快车道”。
【时间轴信号波动追踪】
网速也会“早高峰”?24小时不间断绘制WiFi心跳曲线,捕捉深夜掉线元凶、高峰时段卡顿规律。打游戏、追直播、下大文件,随心规划你的极速时刻,从此网络卡顿成为“上个时代的回忆”!
选择极速5G WiFi,让您的网络连接变得简单而高效。
1、打开极速5GWiFi app,进入接入点界面后,点击右上角筛选极速。

2、进入WIFI筛选界面后,根据需求选择条件,点击应用即可。

1.核心网络优化功能
-双频段智能扫描与分析:采用军用级信号扫描技术,能在0.5秒内完成周边20个WiFi热点的深度探测,不仅能精准识别信号强度、频段、加密类型,还能找出隐藏网络和伪基站。同时通过独创的双频段AI优化引擎,实时诊断2.4GHz和5GHz频段的信道质量,用评级标注拥堵等级,还会智能推荐3个“黄金信道”,避免出现“信号满格网速慢”的问题。
-可视化信号与信道展示:搭载WiFi信道热力图功能,以动态频谱图的形式直观呈现周边WiFi分布和信道占用率,信号密集区、空闲区和信号死角一眼就能分辨。此外还支持切换查看两个频段的信道数据图,方便用户根据情况调整路由器位置或信道设置,让网络覆盖更均匀。
-信号波动实时追踪:具备时间轴信号波动追踪能力,24小时不间断记录WiFi信号变化并绘制成波动曲线。用户能通过曲线掌握网络在高峰时段的卡顿规律、深夜是否存在掉线等问题,便于规划打游戏、下载大文件等对网速要求高的操作时间。
2.全面网络安全与管理
-安全风险精准拦截:在扫描网络的同时完成安全检测,可有效识别伪基站等风险源,减少用户接入危险网络导致信息泄露的概率,相比普通工具安全防护等级大幅提升。
-接入设备实时管控:内置设备管理看板,能实时显示当前WiFi下连接的所有终端设备。一旦有陌生设备接入会及时提醒用户,用户可对可疑设备进行一键限速或踢除操作,避免他人蹭网拖慢网速,守护网络使用安全与专属权。
3.实用附加与使用优势
-深度网络诊断报告:软件的网络医生模块可提供20多项深度诊断,涵盖DNS、MTU等多个维度,诊断后会自动生成优化方案,三步就能解决多数常见网络故障。同时还能存储30天内的网络质量数据,支持生成专业报告,为用户升级网络提供数据参考。
-轻量化且易操作:软件体积仅40.4MB,安装后不会过多占用手机存储空间,适配多数安卓机型。界面设计简洁,核心功能一键就能直达,专业网络数据都以通俗的形式呈现,哪怕是不懂网络知识的普通用户,也能轻松上手完成网络优化操作。
下载
WiFi钥匙闪连app
33.5M /
小编简评:WiFi钥匙闪
下载
5G卫星地图
72.4M /
小编简评:5G卫星地图
下载
快速WiFi秒连app
45.1M /
小编简评:快速WiFi秒
下载
蝴蝶免费WiFi软件
52.4M /
小编简评:这是一款适
下载
AI Mate极速版
43.7M /
小编简评:AI Mate极速
下载
WiFi钥匙专家app
64.8M /
小编简评:《WiFi钥匙
下载
此刻WiFi安卓版
35.2M /
小编简评:此刻WiFi是
下载
账本极速版app
192.5M /
小编简评:账本极速版
下载
好连WiFi官方正版
41.3M /
小编简评:好连WiFi A
赚点集思吧平台
37.3M
4.7.2 官方版
应用商店(小米自带)app
33.1M
5.4.3 官方版
自动点击器安卓版
23.7M
2.0.12.24 最新版
nubia应用中心最新版
15.9M
4.3.0.062814 官方手机版
双开助手微分身版
17.6M
10.2.6.0 官方正式版
互传vivo一键换机app
44.3M
7.0.8.3 官方最新版
XY工具库
2.5M
1.0.0 最新版
乐柠画质助手软件
124.4M
4.8 安卓版
play商店安卓版(Google Play 商店)
91.3M
48.8.07-29 最新版
葫芦侠最新版本
33.8M
v4.4.1.2.1 安卓版
华为应用市场2025最新版
54.9M
15.4.1.300 官方版
冷眸软件库新版
1.3M
10.0 最新版
网友评论