蝶形弹簧的设计计算是需要这款碟形弹簧计算器的,碟形弹簧计算器可以帮助专业人士进行自动计算,需要的朋友可以进行免费下载使用。
碟形弹簧计算公式
【负荷~压缩量】

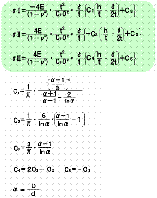
【应力~压缩量】

纵向弹性系数/柏松比

碟形弹簧计算器怎么用
输入数值点击自动计算即可,输入有误点击重新输入。
计算碟形弹簧相关性能,给定数值计算结果
- PC官方版
- 安卓官方手机版
- IOS官方手机版


下载地址
CASIO fx-991cn X中文版经典计算器电脑版
海纳金属铣削加工计算器1.0 pc版
五金计算器1.0 绿色版
Lingo18软件【附破解文件】
nano measurer粒度分析软件1.2.5 中文版
赛鸽空距飞速计算软件1.0 绿色免费版
气缸吸盘选型计算工具1.0绿色版
技成工具箱1.0官方版
word文字计算器1.0 免费版
POE交换机与AP设备组合带载能力计算器1.3 免费版
天线计算器0.2 免费版
J型天线计算器绿色版
书脊计算小工具免费版
公法线长度计算1.0 绿色免费版
太阳能路灯系统设计快速计算软件1.0 免费最新版
神医系列之补钠计算器2.0 最新免费版
钻井水力参数计算软件v1.0 绿色版
弹性储存量计算器(Flex Memory Endurance Calculator)0.4.1 免费版
三次样条插值工具SplineMaster2.0 绿色免费版
CRC计数器绿色版1.001免费版
求最短路径算法软件1.0 免费版
编辑推荐
万能五笔输入法下载10.3.0 官方最新版
62.2M / 07-18 / 10.3.0 官方最新版
百度输入法PC版6.1.0.7 官方电脑版
131M / 12-29 / 6.1.0.7 官方电脑版
搜狗输入法2025官方版13.12 正式版
126M / 12-29 / 13.12 正式版
腾讯文档电脑版3.0.5 官方版
125.9M / 06-13 / 3.0.5 官方版
PeaZip压缩解压工具v9.1.0 官方版
13.7M / 02-28 / v9.1.0 官方版
相关合集
本类软件排行