相关资讯
本类常用软件
-
福建农村信用社手机银行客户端下载下载量:584204
-
Windows优化大师下载量:416918
-
90美女秀(视频聊天软件)下载量:366961
-
广西农村信用社手机银行客户端下载下载量:365699
-
快播手机版下载量:325855
为了适应各类复习迎考,大家都会利用一些题目来练习。当面对题目与答案分离的现状(两个文档或一个文档的两个部分)时,怎样将题目和答案合二为一,使答案自动填充到题目后的括号中是颇让大家头疼的一件事情。经过实践探索多步骤的组合操作可以实现。
具体操作方法如下:
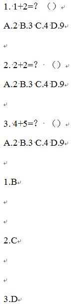
首先将答案文档内容粘贴到题目文档后面,即文档前半部分为题目,后半部分为答案。效果如下:

一、将答案分段
1、查找内容:([0-9]@.[A-D])
替 换 为:\1^p^p^p
勾选“使用通配符”
全部替换
效果如下:

2、选中最后一个答案后的所有段落标记全部删除(如本例3.D后的三个段落标记)。效果如下:

3、查找内容:^32([0-9]@.[A-D])
替 换 为:\1
保持勾选“使用通配符”
全部替换
效果如下:

二、分别将题目与答案文本转换成表格
4、选中所有题目内容,表格→转换→文本转换成表格→确定,点按右侧框线向左拉动到页面一大半位置。选中所有答案内容,表格→转换→文本转换成表格→确定,点按右侧框线向左拉动到页面能容纳答案位置。效果如下:


5、当答案表格处于全选状态,将光标移动到表格上呈空心箭头状时按左键,拖动此表移动到题目表第三行右侧框线外。效果如下:

三、将表格转换成文本并重新排列
6、全选表格,表格→转换→表格转换成文本→制表符→确定。效果如下:

7、查找内容:^t
替 换 为:空(不输入内容)
保持勾选“使用通配符”
全部替换
效果如下:

四、将答案代码自动对应填入选择题题号后的括号中
8、查找内容:(\()(\)^13)(*^13)([0-9]@).([A-D])
替 换 为:\1\5\2\3
保持勾选“使用通配符”
全部替换
最终效果如下:


DNF每日签到送豪
lol7月神秘商店
LOL黑市乱斗怎么
LOL英雄成就标志
骑自行车的正确
在校大学生该如
微信朋友圈怎么